출처 : 백준 온라인저지
https://www.acmicpc.net/problem/11729
11729번: 하노이 탑 이동 순서
세 개의 장대가 있고 첫 번째 장대에는 반경이 서로 다른 n개의 원판이 쌓여 있다. 각 원판은 반경이 큰 순서대로 쌓여있다. 이제 수도승들이 다음 규칙에 따라 첫 번째 장대에서 세 번째 장대로
www.acmicpc.net

✅ Solution
const input = require('fs').readFileSync('/dev/stdin').toString().trim();
const N = Number(input);
const answer = [];
let cnt = 0;
function hanoi(n, from, other, to) {
if (n === 0) {
return;
} else {
hanoi(n - 1, from, to, other);
answer.push([from, to]);
cnt++;
hanoi(n - 1, other, from, to);
}
}
hanoi(N, "1", "2", "3");
console.log(cnt);
console.log(answer.map((i) => i.join(" ")).join("\n"));
이번 문제는 로직을 스스로 생각하지 못하고, 다른 사람의 답안을 참고하였으나
이 역시 재귀함수를 사용해야 했는데, 재귀함수에 대한 이해 부족으로 굉장히 오랜시간 고생했던 문제이다.
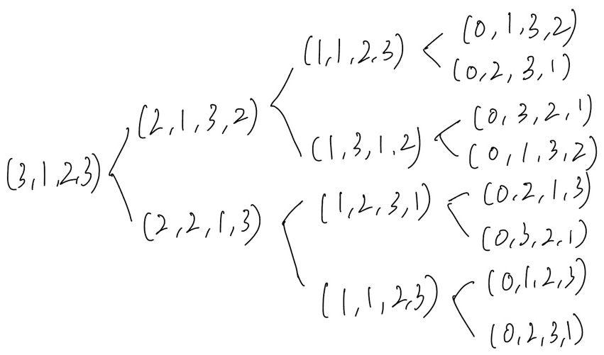
ZeroCho 님의 유튜브에서 배웠던 Stack 과 Background 방식으로 이해하고자 했는데 아직 잘 이해가 되지 않았고 아래와 같이 손수 실행될 함수들을 나열하여 이해할 수 있었다.

위 로직에 따라 실행될 hanoi 함수의 parameter들을 나열한 것이다. 이 함수들을 다시 실행 순서대로 나열하면 아래와 같다.

이렇게 로직이 어떻게 구현되는지에 대해서는 이해를 했지만, 아직도 문제만 보고 재귀함수를 사용하여 이렇게 로직을 구현하긴 어려울 것 같다. 재귀함수에 대한 더 많은 연습이 필요할 듯..
참고
11729. 하노이 탑 이동 순서 - node.js / javascript
11729. 하노이 탑 이동 순서 - node.js / javascript
velog.io
'알고리즘' 카테고리의 다른 글
| 프로그래머스JS | [1차] 뉴스 클러스터링 (0) | 2022.07.29 |
|---|---|
| 프로그래머스 JS | 괄호변환 (0) | 2022.07.28 |
| 프로그래머스 JS | 행렬 테두리 회전하기 (0) | 2022.07.06 |
| 프로그래머스 JS | 오픈채팅방 (0) | 2022.07.02 |
| 프로그래머스 JS | [1차] 다트게임 (0) | 2022.06.30 |
출처 : 백준 온라인저지
https://www.acmicpc.net/problem/11729
11729번: 하노이 탑 이동 순서
세 개의 장대가 있고 첫 번째 장대에는 반경이 서로 다른 n개의 원판이 쌓여 있다. 각 원판은 반경이 큰 순서대로 쌓여있다. 이제 수도승들이 다음 규칙에 따라 첫 번째 장대에서 세 번째 장대로
www.acmicpc.net

✅ Solution
const input = require('fs').readFileSync('/dev/stdin').toString().trim();
const N = Number(input);
const answer = [];
let cnt = 0;
function hanoi(n, from, other, to) {
if (n === 0) {
return;
} else {
hanoi(n - 1, from, to, other);
answer.push([from, to]);
cnt++;
hanoi(n - 1, other, from, to);
}
}
hanoi(N, "1", "2", "3");
console.log(cnt);
console.log(answer.map((i) => i.join(" ")).join("\n"));
이번 문제는 로직을 스스로 생각하지 못하고, 다른 사람의 답안을 참고하였으나
이 역시 재귀함수를 사용해야 했는데, 재귀함수에 대한 이해 부족으로 굉장히 오랜시간 고생했던 문제이다.
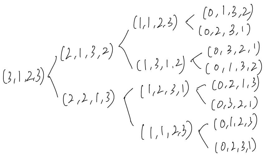
ZeroCho 님의 유튜브에서 배웠던 Stack 과 Background 방식으로 이해하고자 했는데 아직 잘 이해가 되지 않았고 아래와 같이 손수 실행될 함수들을 나열하여 이해할 수 있었다.

위 로직에 따라 실행될 hanoi 함수의 parameter들을 나열한 것이다. 이 함수들을 다시 실행 순서대로 나열하면 아래와 같다.

이렇게 로직이 어떻게 구현되는지에 대해서는 이해를 했지만, 아직도 문제만 보고 재귀함수를 사용하여 이렇게 로직을 구현하긴 어려울 것 같다. 재귀함수에 대한 더 많은 연습이 필요할 듯..
참고
11729. 하노이 탑 이동 순서 - node.js / javascript
11729. 하노이 탑 이동 순서 - node.js / javascript
velog.io
'알고리즘' 카테고리의 다른 글
| 프로그래머스JS | [1차] 뉴스 클러스터링 (0) | 2022.07.29 |
|---|---|
| 프로그래머스 JS | 괄호변환 (0) | 2022.07.28 |
| 프로그래머스 JS | 행렬 테두리 회전하기 (0) | 2022.07.06 |
| 프로그래머스 JS | 오픈채팅방 (0) | 2022.07.02 |
| 프로그래머스 JS | [1차] 다트게임 (0) | 2022.06.30 |